导读
交流电能表是我们在家庭用电与商业场所中常见的计量仪器,它的检定用标准器被称为交流电能表检定装置。2025年12月11日,新版JJG 597-2025《交流电能表检定装置检定规程》即将正式实施,本文将重点解析该规程新旧版本的差异。
1 被检对象——交流电能表检定装置
1.1 主要规格
交流电能表检定装置,是向被检交流电能表提供电能并能测量此电能的器具的组合。除了常见的挂表架式电能表检定台体和电能表便携式校验装置以外,目前电能表自动化试验系统的数量也在日渐增加,成为一个新的趋势。他们常见的规格如下表。

*图 2-8 安装式参考标准应用场景
1.2 标准体系
交流电能表检定装置相关标准体系如下表所示。

*表 1-2 交流电能表检定装置相关标准体系
2 新老规程对比解析
JJG 597-2025 《交流电能表检定装置检定规程》预计将于2025年12月11日实施,替代旧规程JJG 597-2005 《交流电能表检定装置》。主要技术性变化如下:
2.1 适用范围

*表 2-1新旧规程适用范围对比
2.2 术语
新版规程相比旧版,增加了交流电能表自动化试验系统、交流电能表自动化试验系统电能计量检定单元、控制量限、最大电流(Imax)、最大负载、最小负载、安装式参考标准(表)的术语定义。
针对新增的检定方法中提及的安装式参考标准,规程做出如下定义:
安装式参考标准能够替换安装式电子式交流电能表,在交流电能表自动化试验系统的计量检定单元上运转的参考标准(表),准确度和稳定度满足JJG 1085-2013的要求。

*图2-1 现场图
2.3 计量性能要求:基本误差
在新版JJG 596-202X《安装式交流电能表检定规程》中,使用了最小电流、转折电流的定义,并且新增了起动电流到最小电流的精度要求。相对应地,JJG 597-2025《交流电能表检定装置检定规程》参考电能表的电流设置,将基本误差按照不同电流范围进行划分。以常见的0.05级检定装置(λ=1)为例,其最大允许误差如图所示。具体分为两种情况:单相交流电能表或三相直接接入式电能表检定装置(图2-2)与三相经互感器接入电能表检定装置(图2-3)。

*图 2-2 单相与三相直接接入式检定装置最大允许误差示意图

*图 2-3 三相间接接入式检定装置最大允许误差示意图

*图 2-4 常见电能表规格

*图 2-5 常见电能表铭牌

*图 2-6 不同功率因数下最大允许误差对比
2.4 计量性能要求:检定装置准确度等级
新版规程里删除了对有功0.03级、有功0.3级和无功0.5级的计量性能要求。增加了对无功0.02级、0.05级、0.1级检定装置的计量性能要求。这一点在基本误差、测量重复性、检定装置配套使用的标准电能表等级等内容中均有体现。

*图2-7 新旧规程关于准确度等级的变化
2.5 计量性能要求:表位误差与多路输出一致性
2.5.1 检定单元的要求
新版规程中明确提出:检定单元对多路输出一致性不做要求。其原因在于,对于电能计量检定单元,因表位多、检定量大,受到隔离互感器、同名端压降等因素影响,其表位误差不确定性较大。简单来说,检定单元通常无法满足多路输出一致性的要求。故对带隔离互感器的检定单元,每一路输出的可靠性只用测量表位基本误差进行考核。
在进行检定单元多路(M路)输出基本误差测量时,检定单元应悬挂安装式参考标准或接入参考标准,选择√M至M路输出(应包含首末表位),测量其输出的基本误差。
其中提到的安装式参考标准定义可参考2.2,它属于一种新增的检定方法,更适合计量检定单元进行检定和期间核查,实际应用场景可参考图2-8。

*图2-7 新旧规程关于准确度等级的变化
2.5.2 多路输出的装置的要求
对多路(M路)输出的装置检定多路输出一致性时,应选控制量限,各路接相同负载,分别在功率因数1、0.5L时,确定各路输出(检定时做不少于M路)的基本误差是否符合规定,同时互相间基本误差最大变化值应不超过最大允许误差的30%。对比来看,多路输出的装置除了检定表位误差以外,还需要检多路输出一致性。而检定单元只需要检定√M至M路的表位误差。
2.6 通用技术要求:标准电能表配置
在旧版规程中,检定装置有功测量的准确度等级与标准表有功测量的准确度等级相同,但实际上由于回路感抗、接触电阻和引线电阻等带来的影响,对于多路输出的装置或检定单元,他们的准确度等级不能完全以标准表的准确度等级来确定,只是考虑到国内标准电能表厂家技术能力的限制,旧版规程适当放宽了等级要求。
经过十几年的发展,国内标准电能表厂家技术能力有很大提升,高精度标准电能表(0.02级、0.05级、0.1级)已经普及。考虑到目前的实际执行情况,提高了对有功0.05级、0.1级和0.2级检定装置配套的标准电能表的准确度等级要求。并且新规程实施前使用的0.05级及以下检定装置配套的标准电能表,可以比规定低一个等级,即参考旧版规程规定。

*图 2-9 新旧规程关于标准电能表准确度等级对比
2.7 通用技术要求:标准时钟(时刻)测试仪(装置)
考虑到新版JJG 596-202X规程对电能表在原日计时误差检定的基础上增加了时钟时刻误差检定,故新版JJG 597-2025规程增加了对于检定装置配套的标准时钟(时刻)测试仪(若有)的规定,要求其应满足JJF 1662-2017中日计时误差和时钟时刻误差的标准。
2.8 参考标准
新规程增加关于电能参考标准的规定:当电能参考标准不满足被检装置最大允许误差1/3时,需加修正值。例如检0.05级的检定装置至少选择0.02级的电能参考标准,且应加修正值,考虑到准确性与便捷性,此时最好选择0.01级的电能参考标准。

*表 2-2 JJG 597-2025 电能参考标准的准确度等级
2.9 检定项目
由于技术进步和原理改变,在旧版规程中的21个检定项目在新版规程中删除9个。各项目删除原因可见表2-3。

*表 2-3 删除项目说明
2.10 适应现行法规的修改内容
因国家取消了电能表检定装置的型式评价行政许可,因此新规程外观部分删除了“制造计量器具许可证标志及编号”要求。
由于JJF 1002-2010明确要求检定规程不应包含型评大纲,故删除旧规程中的附录A交流电能表检定装置型式评价大纲。
2.11 检定环境

*表 2-4 新旧规程检定环境对比
2.12 附录
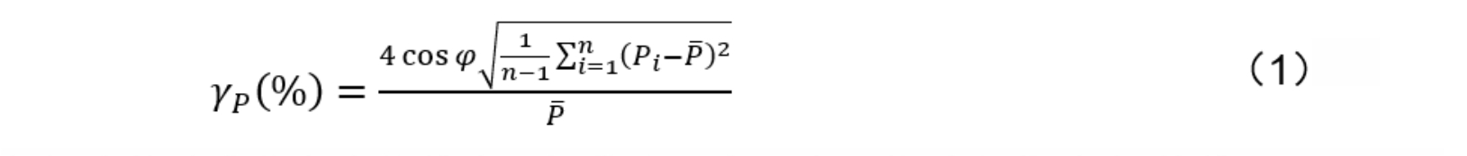
旧规程对于功率稳定度有两种计算方法,一种为统计方法,按照式(1)计算。

另一种为简化的峰-峰值功率稳定度估算法,记载于附录B中,按照公式(2)计算。

新版规程仅保留了正文中的统计方法,删除了附录B中的“简化的峰-峰值功率稳定度估算法”,实现了功率稳定度算法的统一,保证了测量结果的一致性、可比性。
2.13 检定周期

*表 2-5 新旧规程检定周期对比
3 天恒检定方案

*图3-1 天恒交流电能溯源体系
湘公网安备43012102001074号 湘ICP备08101143号-2 Designed by300.cn 网站地图 地址:湖南省长沙经济技术开发区盼盼路16号
在线商城